PAL (Pro Anglers League)

Тема в разделе "Мероприятия и события", создана пользователем LeGro, 11 мар 2019.

  1. ВЛАД66

    ВЛАД66 модератор Команда форума

  2. Илья.Коптево

    Илья.Коптево Рыбак Писатель

    Тоже достойный результат, очень ребята постарались, рад за Чулана, второго лично не знаю, но по мотивам его видео собрался в Нарьян Мар на первый лёд...
     
    ВЛАД66 нравится это.
  3. Илья.Коптево

    Илья.Коптево Рыбак Писатель

    А вот ПЕ второй этап подряд первый тур проваливают, вроде все говорили с судаком здесь получше, так что есть вариант, что многие закроются и отыграться будет трудно, 20 кг отставание это не шутки.
    Про Денисова - Юрганова и говорить нечего, понты конечно хорошо и видимо полезно для бизнеса, но сейчас команда просто провалилась...
     
    ССМытищи и ВЛАД66 нравится это.
  4. Макс Яр

    Макс Яр Рыбак

    да уж, удмурты молодцом выступили! Вот у них слова с делами не разошлись, красавцы.
    Юрич с Колюней хорошо должны в рейтинге подняться - многие, кто впереди их после первого этапа сильно просели в этом туре. Не знаю, как там считают (после всего этапа или после каждого тура), но на мой взгляд в пятерке уже.
     
  5. Карась

    Карась хуту

    Тоской и унынием от них веет.
    С таким настроением ничего интересного не будет.
    Да и Питерцов мимо призов в этот раз, столько не отыграть...разве что чудо какое...
    А лидеры походу на веревке будут долавливать...интересно.
     
    Илья.Коптево, Макс Яр и ВЛАД66 нравится это.
  6. ВЛАД66

    ВЛАД66 модератор Команда форума

    теперь и чудо не спасет, лидеры четко обозначили свои позиции...думаю завтра будут главное перетряхивание, и мы увидим первую тройку
    ..дык по отношению к этому туру было видно, что они "отпустили" ситуацию...это факт

    думаю проблему, за ночь ,порешают;)
     
    Илья.Коптево и Карась нравится это.
  7. SEGA Углич

    SEGA Углич ХОДОК-АДЕПТ БЛЕСНЫ Писатель

    не будет этого...им уже две:good: команды предложили"электроякоря".
    * вроде уже и определились...на Русяевском будут завтра ловить!:)
     
    Карась нравится это.
  8. ВЛАД66

    ВЛАД66 модератор Команда форума

    итоги дня пошли
     
  9. ВЛАД66

    ВЛАД66 модератор Команда форума




    Русяев сильно расстроился :cool:
    Зы блин лидеры всю рыбу с якоря поймали..респект8-):drinks:
     
    Последнее редактирование: 26 окт 2021
  10. SEGA Углич

    SEGA Углич ХОДОК-АДЕПТ БЛЕСНЫ Писатель

    [​IMG]
     
    РАН нравится это.
  11. Карась

    Карась хуту

    Уже прикрутили ))
     
    ВЛАД66 и Илья.Коптево нравится это.
  12. Бaмбр

    Бaмбр Рыбак

    А как они смогли так расквадратить технику? это ж специально надо ломать. мож пиво неудачно открывали
     
  13. ВЛАД66

    ВЛАД66 модератор Команда форума

    ну что ж, респект Русяеву:drinks:
     
    Илья.Коптево нравится это.
  14. Карась

    Карась хуту

    Отстегнулся на ходу и опустился.
    Хреново закрепили.
     
    Бaмбр и ВЛАД66 нравится это.
  15. ВЛАД66

    ВЛАД66 модератор Команда форума

  16. ВЛАД66

    ВЛАД66 модератор Команда форума

  17. Илья.Коптево

    Илья.Коптево Рыбак Писатель

    3 судака уже у Удмуртов, я бы отвёз на досрочку, что то они ложатся в аэраторе, но время выхода боятся видимо упустить... короче нервно у ребят.
    Если даже этих сохранят, уже их обойти трудно будет соперникам...
     
    Последнее редактирование: 27 окт 2021
    ВЛАД66 нравится это.
  18. Илья.Коптево

    Илья.Коптево Рыбак Писатель

    Ну вот, одного уже пришлось выкинуть...
    Но выхода судака что то пока ни у кого нет, может безкамерники дадут жару, а топы что то пока не ловят ни хрена...
     
  19. ВЛАД66

    ВЛАД66 модератор Команда форума

    Думаю вес лидера будет 8 кг судака
     
  20. АгЛ

    АгЛ Рыбак

    Включил трансляцию, Колек опять что ли по нулям???
    Одна рыбка в лейвеле.
     
  21. АгЛ

    АгЛ Рыбак

    Надо судака с коээфициентом 2 делать, а то как то глупо, серьезные дядьки, а заточены под ловлю условно съедобной щуки...
     
  22. Макс Яр

    Макс Яр Рыбак

    это его трофей!
     
  23. АгЛ

    АгЛ Рыбак

    Ну слава Богу!
     
  24. Анаконда

    Анаконда Важен мотив


    Согласен полностью насчет коэффициента. Сделают один день окунёвый, к примеру, и что, пять окуней по 450 грамм плюсовать к общему весу?
     
  25. АгЛ

    АгЛ Рыбак

    А окуня вообще с коэффициентом 3 делать, прекрасная рыба с хорошими вкусовыми качествами. Крупного поймать тяжелее, чем крупную щуку.
     
    plohish, Илья.Коптево и Анаконда нравится это.
  26. Анаконда

    Анаконда Важен мотив


    Паловцы офигеют, если им один день окуневый сделают:) в прилове щуки будут. Судаки крупные. Они их такие выкидывают и жаждут окуня:)
     
    SEGA Углич и АгЛ нравится это.
  27. SEGA Углич

    SEGA Углич ХОДОК-АДЕПТ БЛЕСНЫ Писатель

    А что же тогда Гирбасов в прямом эфире,как мантру повторяет:"Очень надеюсь,Николай поймает сегодня судака!"(цы) 8-)
    * хотя мне тоже показалось,что 1-го калёк-малёк зацепил:D...
     
  28. ВЛАД66

    ВЛАД66 модератор Команда форума

    блин 11480 грамм....молодцы лидеры
     
    Илья.Коптево и Карась нравится это.
  29. ВЛАД66

    ВЛАД66 модератор Команда форума

  30. SEGA Углич

    SEGA Углич ХОДОК-АДЕПТ БЛЕСНЫ Писатель

    Подкачали ярославцы...<:-(
     
  31. ВЛАД66

    ВЛАД66 модератор Команда форума

  32. Макс Яр

    Макс Яр Рыбак

    да уж.... чего-то второй этап по судаку слабовато выходит.:(
    В туре всего 12-е... вчера на соседнем сайте кто-то рейтинги пересчитал после первого тура, ЧА уже третьими были, сейчас опустятся конечно
     
    SEGA Углич нравится это.
  33. Илья.Коптево

    Илья.Коптево Рыбак Писатель

    Даже Петя Денисов больше сегодня поймал...
     
  34. Лжекарась

    Лжекарась Рыбак

    Главное, не забыть про лучшего рыболова всея Руси...:D:D
     
    Илья.Коптево и ОКА нравится это.
  35. Бaмбр

    Бaмбр Рыбак

    Анаконда?
     
    Анаконда нравится это.
  36. Илья.Коптево

    Илья.Коптево Рыбак Писатель

    Дядя Петя, ты дурак?
    Когда про "всея Руси" пишут, это про меня...<:-(:modest:
     
    BVA, ЖК Химки, ОКА и 2 другим нравится это.
  37. Макс Яр

    Макс Яр Рыбак

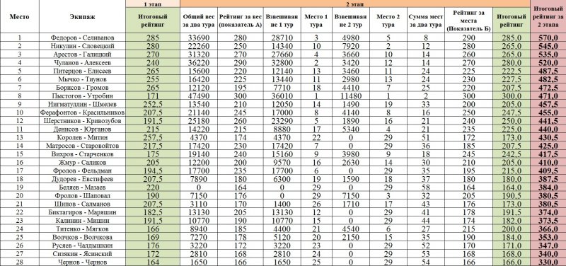
    Практически все понятно. Если только что-то супер неожиданное...
     

    Вложения:

  38. Карась

    Карась хуту

    Мама
    8-)8-)8-)
     
    Илья.Коптево нравится это.
  39. ВЛАД66

    ВЛАД66 модератор Команда форума

     
    Последнее редактирование: 27 окт 2021
  40. SEGA Углич

    SEGA Углич ХОДОК-АДЕПТ БЛЕСНЫ Писатель

    отличная таблица...:good:
    Вперёд,за Питер!:O мои фавориты впереди пока...:)
     

Поделиться этой страницей

Наверх